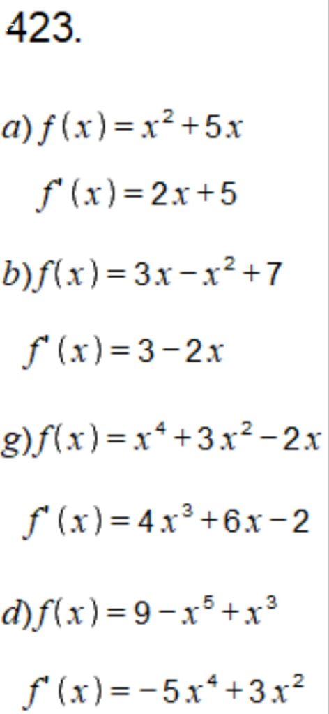
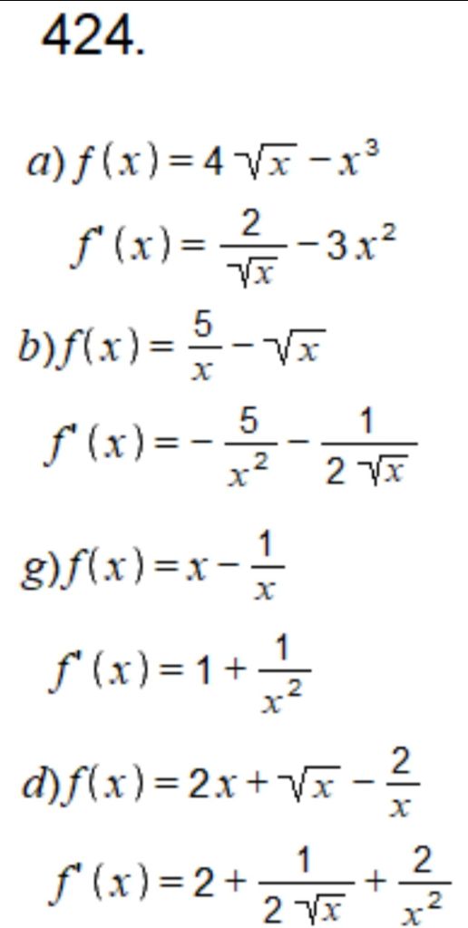
Մաթեմատիկա 10․11․2023 arthur_petrosyanNovember 10, 2023Մաթեմատիկա Post navigation PreviousNext Share this: Share on X (Opens in new window) X Share on Facebook (Opens in new window) Facebook Like Loading... Related